University of Leiden Home Physics Dept Home Group Home

Aurelio Romero Bermúdez

Quantum Matter Theory Group, Lorentz Institute, University of Leiden

E-mail: a.r.b at cantab.net
    My research interests range from quantum chaos to quantum transport. I am also interested in the connection between entanglement and geometry.

    Quantum Chaos:

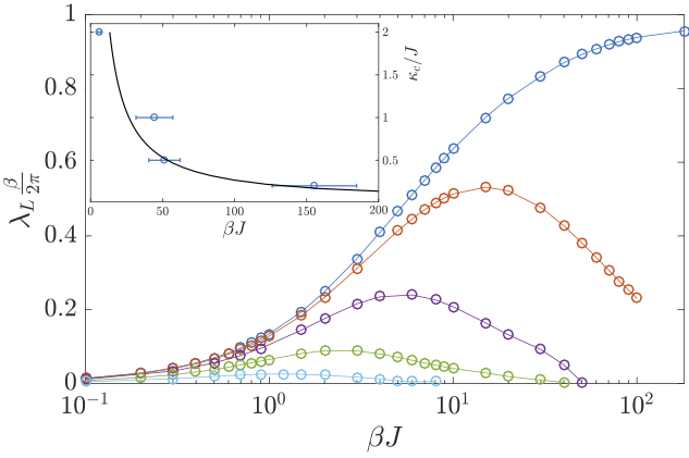
    Here, we study for the first time the dependence of the commutator-square (a simple probe of quantum chaos) on the Schwinger-Keldysh contour on which it is computed. We also establish a relation between the commutator-square and the Loschmidt echo.


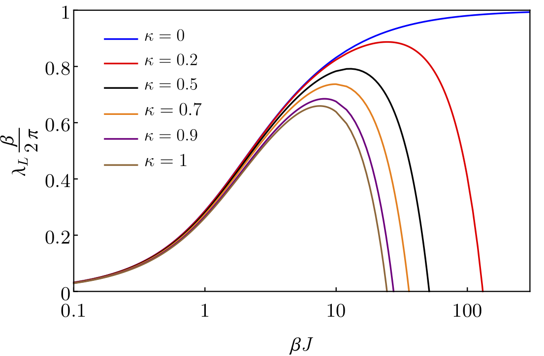
    In this Letter, I have studied the robustness of the chaotic properties in the Sachdev-Ye-Kitaev model when adding a relevant (in the RG sense) mass term with random coupling. This is a solvable toy model of fermions in 0+1 dimensions that, for long times (strong coupling limit), shares properties with classical black holes.

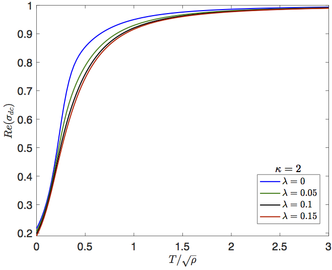
    Numerics
    Analytical - perturbative in κ


    CFTs and Entanglement:

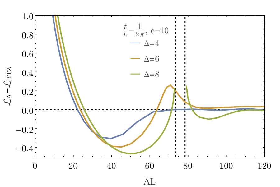
    Here, I have obtained a Cardy formula for averaged three-point coefficients of primary operators in holographic 2d-CFTs. This fundamental data makes up the statistical Wightman function for arbitrary entanglement between two copies of the theory, generalising the Thermofield Double State. I also study the change in the dual geometry when entanglement is reduced upon the introduction of a hard cutoff in the spectrum.



    Destruction of Fermi surfaces in holgraphic lattices:

    In this paper, we show a novel mechanism for the destruction of the Fermi surface in holographic lattices induced by a periodical modulation of the chemical potential. We demonstrate that, for strong lattices, the Fermi surface becomes a disconnected manifold due to the collision of the Fermi surface pole with zeros of the fermionic Green's function. The location of the zeros corresponds to the poles of the alternate quantization Green's function.

    Transport in strongly correlated materials via the AdS/CFT correspondence:

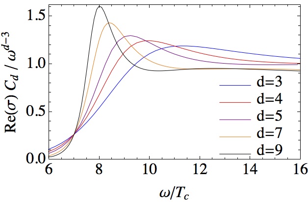
    With the recent advances on momentum-resolved Electron Energy Loss Spectrometry, the interest on the density response in strange metals has been revitalized. Here, we show the holographic quantum-critical continuum broadens the plasmon (the characteristic feature of the density response) at low energy and momentum. When translations are weakly broken and the IR is metallic (irrelevant translation symmetry breaking), the density response is not dominanted by a single mode (like the sound mode); instead, at temperatures for which the momentum dissipation scale dominates over temperature, the spectrum is dominated by a combination of diffusive modes plus a `fake plasmon' originated from the collision of the longitudinal momentum mode with a non-hydro mode. At lower temperature all the modes are purely imaginary at long wavelengths.
    When translation symmetry breaking is relevant and the IR is an insulator, the fake plasmon becomes subdominant, read here more about overdamped fake plasmons. In this case a featureless incoherent response is observed at low frequency.

    Plasmon with translation invariance
              Fake plasmon with strongly broken translations
            Fake plasmon with weakly broken translations

    I have also studied transport in systems with holographic duals. I have looked at higher-derivative couplings which act a `bath' of momentum relaxation. I have also introduced the bounds owed to Mazur and Suzuki in the context of the AdS/CFT correspondence. They allow to decompose correlation functions of conserved currents in terms of correlation functions involving other conserved quantities of the theory.

    I have also studied strongly coupled superfluids in the large-D(imensionality) limit. Evidence from the entanglement entropy and transport suggests the superfluids become less strongly coupled as the number of dimensions increases.

                              Brans-Dicke backgrounds
    Mazur-Suzuki bounds in holography
    Large-dimensionality limit


    Size effects in Superconducting Thin Films:

    My initial research focused on the properties of weakly coupled superconducting thin films with a thickness in the nanoscale. The critical temperature shows oscillations (shape resonances) as the thickness changes. The shape resonances are caused by a change in the spreading of the quantum levels as the thickness changes. This leads to 'jumps' in the density of states and translates into jumps in observables. Shape resonances, and other finite-size-effects, in principle, would allow superconductivity to be enhanced. In order to obtain reallistic predictions, we used a mean-field approach to study the role of the substrate as well as if the number of conduction bands in favours the enhancement of the critical temperature for certain geometries.

    Multiband superconducting thin films
    Finite lifetime in superconducting thin films

CONTACT INFORMATION:

  a.r.b at cantab.net
  Instituut-Lorentz for Theoretical Physics
  University of Leiden
  Niels Bohrweg 2,
  Leiden, NL-2333 CA
  The Netherlands